균형에서의 트래픽

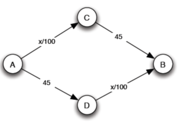
  • 고속도로 네트워크는 각 엣지가 이동 시간을 분 단위로 레이블되어져 있다. x는 도로를 지나는 차량의 수이다. 4000대의 차량이 A에서 B로 이동해야할 때, 균형(equilibrium)에서 2가지 경로로 나뉘고 이동 시간은 65분이다.

  • Equilibrium traffic(균형 트래픽) 트래픽 모델은 실제 운전자들을 참여자(player)로 보는 게임이고, 각 참여자의 가능한 전략은 A에서 B로 가능한 경로로 구성된다. 위 예시에서는 각 참여자가 두 가지 전략만을 가진다. 그러나 더 큰 네트워크에서는 각 참여자마다 많은 전략이 있을 수 있다. 참여자에 대한 payoff는 이동 시간의 음수이다. 이동 시간이 길수록 좋지 않기 때문에 음수를 사용한다.
  • 다른 트래픽들 dominant strategies, mixed strategies, Nash equilibrium with mixed strategies 의 표기는 모두 2인 게임에 대한 정의와 직접적인 유사성을 가지고 있다. 이 트래픽 게임에서는 일반적으로 dominant strategy는 존재하지 않는다. 위의 예제에서는 모든 다른 참여자들이 다른 경로를 이용한다면 어떤 경로가 참여자의 최선의 선택일 거라는 가능성을 가질 수도 있다. 이 때 그 게임은 내쉬 균형을 가진다. 그러나, 두 경로들 사이에 공평하게 운전자들이 이동 시간을 맞추는(balance) 전략의 몇몇은 내쉬 균형이고, 이들은 오직 Nash equilibria이다.
  • 왜 동등한 밸런스가 내쉬 균형을 산출하는가?
    • 우리는 두 경로 사이의 동등한 밸런스를 가지고 어떤 운전자도 다른 경로로 이동하지 않을 것이라는 사실을 관찰한다. (즉, 항상 모든 선택들 중 최선의 선택이 되는 것)
  • 왜 모든 내쉬 균형이 동등한 밸런스를 가지는가?
    • 두번째 질문에 대한 답변으로, 운전자 x가 위의 경로를 사용하거나 아래 경로를 사용하는 전략의 목록을 고려해볼 수 있다. 그때 x가 2000이 아니라면, 두 경로는 동등하지 않은 이동시간을 가질 것이고, 이동시간이 긴 경로에 있는 어떤 운전자도 더 짧은 경로로 바꾸려고 할 것이다. 그러므로, x가 200이 아닌 전략들의 목록은 내쉬 균형이 될 수 없고, x는 2000인 어떤 전략의 목록도 내쉬 균형이다.
  • Braess’s Paradox

  • 이전 고속도로 네트워크 그림에서 C에서 D로 가는 경로로 매우 빠른 엣지가 추가되었다. 비록 고속도로 시스템이 업그레이드되어졌지만, 모든 차량들이 C와 D를 통과하는 경로를 사용하기 때문에  균형에서의 이동 시간은 80분이다. 즉, 경로 C-D를 이용하는 것이 모든 운전자에게 dominant strategy가 된다.
  • 위의 그림에서는 유일한 내쉬 균형이 존재한다. 그러나 모두에게 좋지 않은 이동 시간을 준다. 균형에서, 모든 운전자는 C와 D를 통과하는 경로를 이용한다. 그리고 그 결과, 모든 운전자의 이동 시간은 80분(4000/100 + 0 + 4000/100 = 80)이다. 이 경로가 균형인 이유는, 이동 시간에 있어 해당 경로보다 더 빠른 경로가 없기 때문이다. (얻는 benefit이 없음) 지금과 같이 C와 D를 스치고 지나가는 차량들로 인해 다른 경로들은 85분이 걸린다. 유일한 균형인 이유는 C에서 D로 가는 엣지의 생성(C와 D를 통과하는 경로)이 실제로 모든 운전자들에게 dominant strategy를 만들어주었기 때문이다. 현재 트래픽 패턴과 무관하게 C와 D를 거치는 경로로 바꾸면 benefit을 얻는다.
  • 이러한 현상(는 교통 네트워크에 자원을 추가하고 가끔 평형에서 성능을 해칠 수 있음)은 먼저 디트리히 Braess에 의해 언급되었다. 많은 변칙들이 있는 실생활에서 실제로 나타나기 위해서는 올바른 조건의 조합이 필요하다. 그러나 실제 교통망(공공원을 건설하기 위한 6차선 고속도로의 파괴가 실제로 도시 안팎으로 이동시간을 향상시킨 한국, 서울 등)에서 경험적으로 관찰되어 왔다. 트래픽 크기는 변경 전후에 거의 동일하게 유지됨 → 실제로 6차선 고속도로 대신 공원을 지어서 차량의 이동 시간이 개선된 예

  • 총 이동 시간 = 개별 차량 이동시간 * 차량의 수로 계산된다.
    • 위 그림 (b)는 8*4 = 32이다. 개별 차량 이동 시간은 내쉬 균형에서는 동일하다.
    • 따라서 x + 0 + x  = 8 이 성립하므로 x=4가 되어 차량의 수 4대와 동일하다.
  • 균형에서의 트래픽 패턴 찾기
    • best-response dynamics 명확히 하나를 찾는 다음의 절차를 분석함으로써 균형은 존재한다는 사실을 증명할 수 있다. 절차는 어떤 트래픽 패턴으로부터 시작한다. 만약 균형이 있다면, 끝난 것이다. 마찬가지로 다른 이들이 행동하는 것이 엄격히 낮은 이동 시간을 제공하는 몇몇 대체 경로일 때, 적어도 한 명의 최선의 선택을 하는 운전자가 있다. 이러한 운전자를 선택하고 그 운전자가 이러한 대체 경로를 바꾸도록 한다. 지금 새로운 트래픽 패턴을 가지고 다시 균형인지 체크한다. 만약 아니라면, 그 때는 몇몇 운전자가 최선의 선택을 하도록 하고 계속해서 트래픽 패턴을 체크한다.
    • 이처럼 몇몇 운전자가 현재 상황에 맞는 최선의 선택을 일정하게 수행하도록 함으로써, 참여자의 전략을 동적으로 재수정한다. 만약 그 절차가 멈춘다면, 실제로 모두가 현재 상황에 대한 최선의 선택을 수행하고 있는 상태이므로 그 때 균형을 갖는다고 본다. 따라서 핵심은 어떠한 트래픽 게임의 인스턴스에서 best-response dynamics는 결국 균형에 이를 것이라는 것을 보인다는 점이다.
    • 대신, 초기에 약간 알기 어렵게 보인 대체적인 양을 정의할 것이다. 그러나 best-response dynamics의 단계를 추적하기 위해 이용될 수 있도록, 각각의 최선의 선택을 갱신하는 것과 함께 엄격하게 감소하는 특성을 가진다는 것을 보일 것이다. 이러한 양을 트래픽 패턴의 퍼텐셜 에너지라고 언급한다. 이는 다음과 같이 엣지별로 정의된다. 엣지 e는 현재 그 엣지를 지나는 운전자 x를 가지며, 그 때 엣지의 퍼텐셜 에너지를 다음과 같이 정의한다.

Te(1)은 그 엣지를 지나는 차량이 1대일 때의 이동 비용

Te(2)는 그 엣지를 지나는 차량이 2대일 때의 이동 비용

: 해당 간선의 시간 비용 또는 에너지는 해당 간선을 지나는 차량이 1~n대일 때의 이동비용의 합

  • 엣지가 운전자가 한 명도 없다면, 퍼텐셜 에너지는 0이 될 것이다. 트래픽 패턴의 퍼텐셜 에너지는 그 때 단순히 모든 엣지들의 퍼텐셜 에너지의 합이다.
  • 다음 그림에서 best-response dynamics가 사회적 최적에서 유일한 균형으로 움직이는 것처럼 5가지 트래픽 패턴에 대한 각 엣지의 퍼텐셜 에너지를 보인다.

  • 운전자 x를 갖는 엣지의 퍼텐셜 에너지가 운전자가 그 엣지를 지나는 것의 전체 이동 시간이 아님에 주의해야 한다. T(x)의 이동 시간을 각각 가지는 운전자 x가 있기 때문에 전체 이동 시간은 x*T(x)이다. 여기서 T(x)는 운전자마다 다르다. 대신에 퍼텐셜 에너지는 운전자가 엣지를 하나씩 건널 것이라 상상하는 일종의 누적되는 양이다. 각 운전자는 오로지 스스로 지연을 느끼고 그 앞의 엣지를 건넌다.



'Software Application > Game Theory' 카테고리의 다른 글

게임 이론 (Game Theory)  (0) 2019.12.25

 

게임 이론 개요

  • 게임 참여자들이 어떤 결과를 가질 때 얻는 심리적 만족감은 개개인의 결정 뿐만 아니라 모든 참여자들로부터 만들어진 결정에 의존
  • 게임의 3가지 재료
    • Players (참가자)
    • Strategies (전략): 참가자들의 행동
    • Payoffs (각 참가자들이 얻는 결과): 모든 참가자들이 선택한 전략에 의존한다.

 

 

[G1] Exam-or-Presentation Game

  • 2명이 한 팀 일 때, 2명 모두 발표를 준비하면 발표 100점, 시험 80점을 받고 평균 90점을 얻는다. 반대로 2명 모두 시험을 준비하면 시험 92점, 발표 84점을 받고 평균 88점을 얻는다. 한 명만 시험을 준비하고 다른 한 명이 발표를 준비한다면 결과는 다음과 같다.
    • 발표를 준비한 한 명은 발표 92점이지만 시험은 80점을 얻고 평균 86점을 얻는다.
    • 시험을 준비한 한 명은 여전히 발표 92점을 얻는다. 그 이유는 다른 한 명이 준비한 발표에 의해 혜택(benefit)을 얻는 것이다. 이 사람은 시험도 92점을 얻으므로, 결국 평균 92점을 얻는다.

[payoff matrix]

    • 위의 예시에서 payoff 는 각 참가자들이 시험에서 얻는 점수의 평균이다.
    • 상대방의 선택을 분리해서 생각해보자. 먼저 상대가 시험을 공부할 것을 알고 내가 시험 공부해서 88점을 얻거나 발표 준비를 하면 86점을 얻는다는 사실을 알면 시험 공부를 할 것이다. 반대로 상대가 발표를 준비할 것을 알고 내가 발표를 준비해서 90점을 얻거나 시험 공부하면 92점을 얻는다는 사실을 알면 시험 공부를 할 것이다. (시험 공부의 결과가 점수가 더 높음) 결과적으로 참가자는 상대가 어떤 선택을 하던지 시험 공부를 할 것이다.
    • 결국 평균 성적은 88점을 받을 것으로 기대된다. 그 이유는 시험 공부를 하는 것이 상대에 대한 strictly dominant strategy 이기 때문이다.
  • Strictly dominant strategy: 참가자가 다른 참가자들이 하는 행동을 고려하지 않고 자신의 전략들 중 최선의 전략만 선택하는 것
  • Striking phenomenon: 만약 모두 발표를 선택(평균 90점)할거라 생각하고 내가 발표를 하더라도 상대방은 결국 시험 공부(상대의 시험 점수는 92점)를 하기 때문에 평균 점수는 89점을 얻는다. 결국 평균 90점을 얻는 것은 성립될 수 없다.
  • Rational Play(이성적인 플레이): 모든 참가자들은 자신의 이익을 극대화하려 한다.

 

[G2] The Prisoner’s Dilemma

  • 용의자 2명이 자백(confess)을 하는 경우와 자백을 하지 않는 경우에 대한 payoff가 다음과 같다.

[payoff matrix]

  • 결국 자신의 이익만 극대화하는 선택을 하므로, 둘 다 자백하여 [-4, -4]를 선택하게 된다.
  • 용의자 중 한 명이 자신의 선택에 대해 판단하는 방법: 용의자 2가 자백을 할 때 용의자 1이 자백하면 -4 안하면 -10을 얻는다는 사실을 알면 용의자 1은 자백(-4 > -10)을 할 것이다. 반대로 용의자 2가 자백을 하지 않을 때 용의자 1이 자백을 하면 0 안하면 -1을 얻는다는 사실을 알면 용의자 1은 자백(0 > -1)을 할 것이다. 결과적으로 “자백하기”는 strictly dominant strategy 이다.

 

[G3] Performance-Enhancing Drugs Game 

[payoff matrix]

  • 해석: 운동선수 2가 약물을 복용하지 않을 경우 운동선수 1이 약물을 복용하면 4를 얻고 복용안하면 3을 얻는다는 사실을 알았을 때 운동선수 1은 약물을 복용(4 > 3)할 것이다. 반대로 운동선수 2가 약물을 복용할 경우 운동선수 1이 약물을 복용하면 2를 얻고 복용안하면 1을 얻는다는 사실을 알았을 때 운동선수 1은 약물을 복용(2 > 1)할 것이다.
  • 약물 복용(drug)은 strictly dominant strategy 이다.
  • Arms races(무기 경쟁): 두 경쟁자가 경기를 하기 위해 점점 위험한 무기고를 사용한다.

 

[G4] Exam-or-Presentation Game with an easier exam

[payoff matrix]

  • 해석: 상대가 시험 공부를 했을 경우 참가자는 시험 공부를 하면 92점을 받고 시험 공부를 안하면 96점을 받는다는 사실을 알았을 때 참가자는 시험 공부를 하지 않는다. 반대로 상대가 시험 공부를 하지 않았을 경우 참가자는 시험 공부를 하면 94점을 받고 시험 공부를 안하면 98점을 받는다는 사실을 알았을 때 참가자는 시험 공부를 하지 않는다. 결론적으로 상대의 선택이 무엇이든 시험 공부를 하지 않는 것이 참가자에게 좋은 점수를 준다.

 

게임 이론에서 중요한 두 가지 개념

  • Best Response: 다른 참가자의 전략이 무엇인지에 대해 관찰할 수 있을 때 참가자가 하는 최선의 선택

  • Dominant Strategy (우월전략): 다른 참가자의 모든 전략에 대해서 최선의 선택이 되는 전략 (한 참가자가 여러 개의 우월전략을 가질 수 있다. 상대의 전략에 따라 최선의 선택이 다름)
  • Strictly dominant Strategy (강한 우월전략): 다른 참가자의 모든 전략에 대해서 엄격히 최선의 선택이 되는 전략 (1개만 존재한다. 상대의 전략이 무엇이든 최선의 선택은 1가지)

 

[G5] Marketing Strategy Game

  • 전체 중 60% 정도의 낮은 가격을 선호하는 사람들과 전체 중 40% 정도 고급적인 버전을 선호하는 사람들이 있다. 회사 1은 매우 많은 인기 있는 브랜드이고 두 회사가 직접적으로 시장에서 경쟁할 때, 회사 1은 판매 중 80%를 차지하고 회사 2는 20%를 차지한다.
  • 만약 한 회사가 주어진 시장에서 하나의 제품만 생산한다면 모든 판매를 얻는다. 두 회사가 다른 시장에서 제품을 판매한다면, 그들은 각각 그 시장에서 모든 판매를 담당한다.
  • 가격이 낮은 시장을 대상으로 한다면 payoff는 0.6이고 고급적인 버전의 시장을 대상으로 한다면 payoff는 0.4이다. 만약 두 회사가 모두 낮은 가격의 시장을 대상으로 한다면 회사 1은 80%를 차지하고 payoff는 0.48 (=0.6 x 0.8)이다. 반대로 회사 2는 20%를 차지하고 payoff는 0.12 (=0.6 x 0.2)이다. 유사하게 두 회사가 고급적인 버전의 시장을 대상으로 한다면 회사 1은 payoff를 0.32 (=0.4 x 0.8) 이고 회사 2는 payoff를 0.08 (=0.4 x 0.2) 를 얻는다.

[payoff matrix]

  • 회사 1은 0.48이 제일 크므로, 낮은 가격의 시장에 진입하는 것이 strictly dominant strategy이다.
  • 회사 2는 dominant strategy를 가지지 않는다. 낮은 가격의 시장에 진입하는 것은 회사 1이 고급적인 버전의 시장을 대상으로 할 때 최선의 선택이 되고, 고급적인 버전의 시장에 진입하는 것은 회사 1이 낮은 가격의 시장을 대상으로 할 때의 최선의 선택이다. 

 

[G6] A Three-Client Game - 모든 참가자가 SDS(Strictly-Dominant-Strategy)가 없는 경우

  • 두 회사가 같은 고객에 접근한다면, 그 고객은 각각 경영권을 절반씩 갖게 된다. 회사 1은 혼자 경영권을 얻기에는 너무 작아서, 회사 2가 다른 고객에게 접근하는 동안 한 고객에게 접근한다면 회사 1은 payoff를 얻지 못한다. 회사 2는 고객 B 또는 고객 C에 접근한다면 그들만의 완전한 경영권을 얻는다. 그러나 고객 A는 너무 큰 고객이고, 두 회사 모두 고객 A에 접근한다면 오직 그 회사들과 거래해야만 한다. 그 이유는 고객 A가 너무 크기 때문이다. 가치 8을 가지고 거래를 하는 경우(두 회사는 각각 가치 4를 얻음) 와 B또는 C를 경영하는 경우에 가치 2를 얻는 경우 (두 회사는 각각 가치 1을 얻음)

[payoff matrix]

  • 회사 1과 회사 2 모두 전략 A를 선택하는 경우, 서로 최선의 선택을 한 것이다. (내쉬 균형)
  • Nash Equilibrium (내쉬 균형): 참가자 1이 전략 S를 고르고, 참가자 2가 전략 T를 고르는 경우, 전략 S가 전략 T에 대해 최선의 선택이고 전략 T도 전략 S에 대해 최선의 선택일 경우 (S, T)는 내쉬 균형이라고 한다. (균형상태)
  • Nash Equilibrium = Equilibrium in belief.
    • 왜 최선의 선택이 아닌 전략들의 쌍은 평형(equilibrium)이 아닌가?
    • 적어도 한 명의 참여자는 다른 전략을 선택할 것을 알기 때문에, 참여자들이 실제 게임에서 이러한 전략들이 사용될 지는 확신할 수 없다. 만약 각 참여자들이 다른 참여자들은 내쉬 균형의 일부인 전략을 실제로 수행한 다고 믿는 경우, 그 때 참여자는 내쉬 균형의 일부 전략을 수행할 의지가 있다.

 

[G7] Coordination Game - Multiple Equilibria

  • 팀원 2명이서 프로젝트 발표를 함께하기 위해 슬라이드를 각각 준비하고 있다. 한 명이 연락이 안되어서 지금 당장 슬라이드를 준비해야하는 상황이다. 파워포인트와 키노트 중 하나를 선택해야 한다.

[payoff matrix]

  • 두 가지 내쉬 균형이 존재한다.
    • (파워포인트, 파워포인트)
    • (키노트, 키노트)
  • 다수의 내쉬 균형 중 1개를 선택하기
    • 몇몇 게임에서 참여자가 내쉬 균형 중 하나에 집중하도록 하는 이유가 있었다.
    • 예를 들어, 분할되지 않는 국경 도로에서 밤에 운전중인 두 운전자

 

[G10] Stag Hunt Game - 기본적인 조직 게임에서의 변수

  • 두 참여자들이 비협력적일 때, 높은 payoff를 원하는 한 명이 낮은 payoff를 원하는 다른 한 명보다 더 많은 노력을 기울여야 한다.
  • 실제로 더 낮은 payoff를 원하는 한 명은 어떤 노력도 기울이지 않는다.

[payoff matrix]

 

[G11] Exam-or-Presentation Game (Stag Hunt version)

  • 내쉬 균형이 2개 존재한다.
    • (발표, 발표)
    • (시험, 시험)
  • 여기서 만약 더 높은 payoff의 내쉬 균형(나의 payoff가 높지 않을 수 있다.)을 선택하려고 한다면 다른 참여자들보다 시험 공부를 선택할 경우 나는 더 낮은 성적을 얻을 수 있다.

[payoff matrix]

 

[G12] Hawk-Dove Game - Multiple Equilibria (anti-coordination)

  • 두 동물이 대회에서 음식이 어떻게 나누어질 지 결정하도록 했다고 하자. 각 동물은 공격적으로 또는 소극적으로 행동을 선택할 수 있다. (Hawk or Dove strategy) 만약 두 동물 모두 소극적인 행동을 선택했다면, 공평하게 음식을 나눠가지고 각각 payoff 를 3씩 얻는다. 만약 한 동물이라도 공격적으로 행동하고 다른 하나가 소극적으로 행동했다면, 공격적인 동물이 음식의 대부분을 얻게되고 payoff를 5를 갖는 반면, 소극적인 동물은 payoff를 1을 갖는다. 그러나 두 동물 모두 공격적으로 행동한다면 음식은 사라지고 없을 것이다. 이 경우 payoff는 둘 다 0이다.

[payoff matrix]

  • 2개의 내쉬 균형이 존재한다.
    • (소극적 행동, 공격적 행동)
    • (공격적 행동, 소극적 행동)
  • 다른 종류의 게임

 

내쉬 균형이 없는 게임 - Mixed Strategies

  • 무작위의 가능성을 포함하는 전략들의 집합이 커진다.
  • 일단 참여자들이 무작위로 행동을 하게 되면, 내쉬 균형은 항상 존재한다.
  • 예를 들어, 공격-방어 게임(Attack-defense games)에서 참여자는 공격자와 방어자가 있고 공격자의 전략은 A와 B가 있을 때 방어자는 A에 대한 방어와 B에 대한 방어 두 가지 전략을 갖는다.
  • 여기서 전략 집합 중 어느 하나를 선택해도 상대가 예측해서 더 나은 전략을 세우기 때문에 계속 순환하는 상황이 발생한다. 이에 대한 해결책으로 전략 집합을 크게 만들어 무작위로 섞는 것이다.

 

[G14] Matching Pennies Game (단순한 공격-방어 게임)

  • 동전 맞추기 게임, 참여자는 앞과 뒤 중 하나를 선택한다. 동전을 맞추면 맞춘 사람에게 동전을 주어야 하고, 못 맞춘다면 못 맞춘 사람이 문제자에게 동전을 주어야 한다. 이 게임은 zero-sum 게임(제로 섬은 게임이나 경제 이론에서 여러 사람이 서로 영향을 받는 상황에서 모든 이득의 총합이 항상 제로 또는 그 상태를 말한다)이라고도 불린다.

[payoff matrix]

  • 다른 전략들: 참여자들 중 한 명이라도 행동을 바꾸는 경우 (한 명은 payoff로 -1을 얻고 전략을 바꾼 한 명이 payoff로 +1을 얻기 때문이다.)
  • 내쉬 균형이 없는 경우 참여자는 그들의 동전을 서로서로 계속 뒤집는다. 그러므로 단순히 H또는 T를 가지면서 Matching Pennies Game에서 내쉬 균형이 존재하지 않는 것이다. 만약 서로서로의 전략을 알 수 있어서 어떤 참여자도 대체 전략으로 바꿀 수 있는 동기를 가지지 않는다면 내쉬 균형은 형성한다. 그러나 동전 뒤집기 게임에서는 참여자 1이 참여자 2가 H 또는 T를 고를 것이라는 것을 안다. 따라서 참여자는 반대를 선택하는 것으로 이를 이용할 수 있다.
  • 현실에서는 참여자들이 상대가 자신의 행동을 예측하는 것을 어렵게하려고 한다.
  • Mixed Strategy: 전략 H와 T 사이에 누군가는 무작위로 선택한다.
    • H를 낼 확률 : T를 낼 확률 = i : j 라고 할 때 (i+j=100)으로 정해서 전략을 선택
  • 무작위 행동
    • 확률적으로 전략을 선택
    • 전략 집합은 0~1 사이의 숫자로 표현되고 선택지 H와 T 사이에 mixing이 있다.
    • 두 전략을 섞는 것 (Mixed Strategy) → 확률이 0 또는 1이라면 전략 H 또는 T를 수행하는 것이다.
    • 이를 두 가지 pure strategies 라고 한다.
  • Mixed Strategy 로부터 Payoffs
  • 각 참여자는 몇몇 확률을 가지고 +1을 얻고, 남은 확률을 가지고 -1을 얻는다.
  • payoff의 기댓값을 사용한다.

  • p: H를 선택하는 사람이 낼 확률
  • q: T를 선택하는 사람이 낼 확률
  • 참여자 2가 확률 q이고, 참여자 1이 pure strategy H를 선택했다면,
    • 참여자 1의 payoff 기댓값(-1)*q+1*p = (-1)*q + 1*(1-q) = 1-2*q 가 된다.
    • 첫번째 항: -1은 참여자 1이 H를 선택할 확률이고, q는 참여자 2가 H를 선택할 확률
    • 두번째 항: 1은 참여자 1이 H를선택할 확률이고, (1-q)는 참여자 2가 T를 선택할 확률
  • p와 q를 찾는 것이 내쉬 균형을 찾는 것이다.
  • Matching Pennies game의 Mixed Strategy 버전
    • 전략 = H를 선택하는 확률
    • Payoff = 4 가지 pure 결과( [H,H], [H,T], [T,H], [T,T] )로부터 payoff의 기댓값
  • Equilibrium with Mixed Strategy
    • 내쉬 균형: 각각 서로에게 최선의 선택인 전략 쌍들 (여기서는 확률로 표현)
    • 어떠한 pure strategy도 내쉬 균형을 구성할 수 없다.
  • 참여자 1의 최선의 선택이 참여자 2에 의해 만들어진 전략 q일 수 있나?

즉, 1-2q = 2q -1 을 갖게 하면 내쉬 균형에 대한 확률을 얻는다.

  • Mixed Strategy Equilibrium 의 의미
    • 참여자 2에 의해 전략 q=½ 인 경우: 참여자 1은 전략 H 또는 T 사이의 확률로 플레이하는 것이 비효율적이게 된다. 즉, 전략 q=½ 는 참여자 1에 의해 non-exploitable 이라고 한다.
    • 실제로 왜 우리가 무작위를 도입해야하는지에 대한 이유는 각 참여자가 그들의 행동이 예측 불가능하길 원하기 때문이다. 그래서 그들의 행동으로부터 상대가 이득을 취할 수 없다.
    • 두 가지 선택의 확률이 서로서로에게 최선의 선택이다.
    • 내쉬는 모든 이러한 게임은 적어도 하나 이상 mixed-strategy equilibrium을 가진다고 증명했다.

 

[G15] Run-Pass Game - More on Mixed Strategy Equilibrium

  • 방어가 정확하게 공격 플레이(Pass or Run)와 매치한다면, 공격은 0 yards를 얻는다.
  • 공격이 방어가 경로를 막는 동안 수행되면, 공격은 5 yards를 얻는다.
  • 공격이 방어가 수행을 막는 동안 수행되면, 공격은 10 yards를 얻는다.

[payoff matrix]

  • pure strategy를 갖는 내쉬 균형은 없다. 공격, 방어 둘 다 행동을 무작위로 선택해야 한다.
  • p = 공격이 pass하는 확률
  • q = 방어가 pass를 막을 확률
  • 내쉬의 결과로부터, 적어도 하나는 mixed-strategy equilibrium이 존재해야 한다.

[방어가 pass를 막을 확률 q를 선택한 경우]

  • 공격이 pass할 때의 payoff 기댓값은 0*q+10*(1-q)=10-10q 이다.
    • 첫번째 항: 0은 (방어가 pass 막을 때) 공격이 pass할 확률, q는 방어가 pass를 막을 확률
    • 두번째 항: 10은 (방어가 run 막을 때) 공격이 pass할 확률, 1-q는 방어가 run을 막을 확률
  • 공격이 run할 때의 payoff의 기댓값은 5*q+0*(1-q)=5q이다.
    • 첫번째 항: 5는 (방어가 pass 막을 때) 공격이 run할 확률, q는 방어가 pass를 막을 확률
    • 두번째 항: 0은 (방어가 run 막을 때) 공격이 run할 확률, 1-q는 방어가 run을 막을 확률
  • 방어가 두 전략 사이에 변함없게 하려면 10-10q=5q 가 되도록 q=⅔ 이어야 한다.

[공격이 pass하는 확률 p를 선택한 경우]

  • 방어가 pass를 막을 때의 payoff 기댓값은 0*p+(-5)*(1-p)=5p-5 이다.
    • 첫번째 항: 0은 (공격이 pass일 때) 방어가 pass를 막을 확률, p는 공격이 pass할 확률
    • 두번째 항: -5는 (공격이 run일 때) 방어가 pass를 막을 확률, 1-p는 공격이 run할 확률
  • 방어가 run을 막을 때의 payoff 기댓값은 (-10)*p+0*(1-p)=-10p 이다.
    • 첫번째 항: -10은 (공격이 pass일 때) 방어가 run을 막을 확률, p는 공격이 pass할 확률
    • 두번째 항: 0은 (공격이 run일 때) 방어가 run을 막을 확률, 1-p는 공격이 run할 확률
  • mixed-strategy equilibrium에서 나타날 수 있는 가능한 확률 값: p=⅓, q=⅔ 
  • 공격의 payoff 기댓값 = 10/3
  • 방어의 payoff 기댓값 = -10/3

 

[G16] Penalty-Kick Game

  • 전문 축구에서 1400개의 페널티 킥의 분석을 기반으로, Palacios-Huerta는 4가지 기본 결과 (kicker가 왼쪽 또는 오른쪽을 목표로 했는지, 그리고 goalie가 왼쪽 또는 오른쪽으로 막으려 했는지) 각각에 대해 점수를 매기는 경험적 확률을 결정했다.

[payoff matrix]

  • 기본적인 동전 뒤집기 게임과 관련된 몇 가지 주목해야 할 대조되는 점이 있다. 첫번째, kicker는 goalie가 정확한 방향으로 막으려할 때마다 점수를 얻을 좋은 기회를 합리적으로 가진다. 비록 goalie에 의한 정확한 선택이 여전히 이러한 확률을 완전히 줄일지라도 말이다. 두번째, kicker는 일반적으로 오른쪽 방향으로 공을 찼고 여기서 점수를 얻을 기회는 왼쪽을 목표로 하는 것과 오른쪽을 목표로 하는 것 사이에서 완전히 대칭적이지 않았다.
  • 여전히 동전 뒤집기의 기본적인 전제가 여기서도 나타난다. pure strategies에서 균형이 없는 것, 그리고 게임 플레이 시 무작위로 행동하는 것
  • goalie가 왼쪽 방향을 막을 때의 확률을 q라고 한다면, 확률 q로 두 선택지 사이에 kicker는 다르지 않다는 걸 만들 필요가 있다. → 0.58 * q + 0.95 * (1-q) = 0.93q + 0.70(1-q) → 이 수식을 풀면 q=0.42 이다. 유사하게 p=0.39 이다.

 



  1. 내쉬 균형이 있는지 검사 (하나가 최대 이득을 얻을 때, 다른 하나가 최대 이득을 얻는 전략이 하나라도 없는 경우 내쉬 균형은 존재하지 않는다.)

  2. mixed-strategy 로 균형을 찾아야 한다. 확률 p와 q를 정의

  3. 각 p와 q를 이용해서 비례식을 만들고, 계산해서 p와 q를 구한다.

 

+ Recent posts